Чему равен неопределенный интеграл sin(x) ?
-cos(x)+C
cos(x)+C
tg(x)+C;
Чему равен неопределенный интеграл от нуля?
0
1
С
х
Задача дифференциального исчисления – нахождение производной от заданной функции y = f (x). Задача интегрального исчисления противоположная: нужно определить функцию, производная от которой известна. Фундаментальными понятиями интегрального исчисления является понятие первообразной и неопределенного интеграла.
Понятие неопределенного интеграла
Пусть функция – первоначальная для на .
Неопределенным интегралом от функции называется совокупность всех первообразных этой функции, то есть выражение
где – произвольная постоянная.
Функция называется подынтегральной функцией, – подынтегральное выражение, – постоянной интегрирования, – переменной интегрирования.
С геометрической точки зрения неопределенный интеграл – это совокупность (семья) линий :

Неопределенным интегралом от функции является совокупность ее первоначальных , где – произвольная постоянная.
Свойства неопределенного интеграла
Из определения первоначальной и неопределенного интеграла вытекают следующие свойства (при условии существования первообразныхи производных на интервале ):
- ;
- ;
- ;
Методы вычисления неопределенных интегралов
Для вычисления неопределенных интегралов используются
• Таблица основных формул интегрирования
• Метод подстановки (или формула замены переменной)
• Метод интегрирования по частям
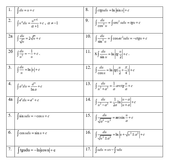
Таблица основных интегралов

Метод подстановки (замены переменной)
Этот метод включает два приема.
a) Если для нахождения заданного интеграла сделать подстановку , тогда имеет место равенство:
После нахождения последнего интеграла надо вернуться к исходной переменной интегрирования х. Для применения этого приема нужно, чтобы функция имела обратную .
б) Если сделать замену переменной, то есть , тогда имеет место равенство:
После нахождения последнего интеграла надо вернуться к переменной х, используя равенство .
Найти интеграл
Решение
Сделаем подстановку , тогда
Таким образом, получим
Из равенства получим ;
Итак,
Метод интегрирования по частям
Этот метод применяется тогда, когда под интегралом находится произведение функций, и хотя бы одна из них является трансцендентной (не степенной).
Пусть и – некоторые функции , то есть ,
Рассмотрим дифференциал произведения этих функций.
Интегрируя обе части равенства, получим
Отсюда, учитывая свойство неопределенного интеграла, имеем
Итак, получили формулу , которую называют формулой интегрирования по частям.
Эта формула позволяет свести поиск интеграла u .
Найти
Решение. Пусть ,$ , , , .
По формуле интегрирования по частям получим:
.
Заказать статью по математике у экспертов биржи Студворк!

Комментарии