Многоатомными спиртами называют соединения, имеющие составе молекул две или более гидроксильные группы.
Двухатомные спирты принято называть гликолями. На сегодняшний день более широко применимы такие многоатомные спирты, как этиленгликоль и глицерин.
Этиленгликоль
Этиленгликоль является двухатомным спиртом, простейшим представителем многоатомных спиртов. Химическая формула записывается .
В чистом виде этиленгликоль – прозрачная бесцветная жидкость немного маслянистая консистенция. Имеет сладковатый вкус, без запаха. Этиленгликоль – токсичное соединение.
Для этиленгликоля характерны следующие реакции:
- реакция с участием щелочных металлов с образованием солей

Многоатомные спирты могут участвовать в реакции с основаниями. Гидроксид меди – качественный реактив на многоатомные спирты. С его участием образуются комплексные соединения.

- многоатомные спирты реагируют с галогенводородами, образуя этиленгалогенгидрины

- при дегидратации образуются ацетальдегиды за счет нагревания и при участии концентрированной серной кислоты
Глицерин
Глицерин относится к трехатомным спиртам, который входит в состав сложных эфиров природного происхождения. Он представляет собой вязкую жидкость, имеющую способность смешиваться с водой в любых количествах при помощи наличия водородных связей.
Если безводный глицерин попадает на кожу, то он может вызвать ожог. Однако, в разбавленном состоянии его применяют в приготовлении косметических средств.
Получение глицерина происходит за счет гидролиза жиров, а также из пропилена

Кислотные свойства глицерина выражены сильнее, чем у одноатомных спиртов. Именно благодаря этому он может вступать в реакцию с участием щелочных металлов, щелочей, при которых идет образование солей – глицераты.
- реакция с участием активных металлов

- реакция с участием щелочей и оснований

- при взаимодействии с медью образуется синий раствор (хелатное комплексное соединение)

Данная реакция является качественной, т.к. для образования такого комплекса необходимо не менее двух гидроксильных групп.
- реакция с участием неорганических сильных кислот
Такая реакция характеризуется основными свойствами. При действии смеси концентрированной азотной и серной кислот образуется тринитрат глицерина.

Тринитроглицерин является токсическим, взрывоопасным веществом. При малых концентрациях относится к лекарственным средствам.
- реакция замещения представлена с участием соляной кислоты с образованием трихлоргидрина

- при воздействии органических кислот идет образование сложных эфиров

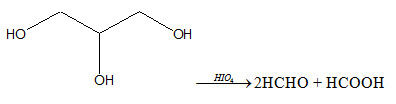
- реакция при взаимодействии йодной кислоты или тетраацетата свинца происходит разрыв углерод-углеродных связей с образованием карбонильных и карбоксильных соединений

Применение многоатомных спиртов
Этиленгликоль применяют при производстве лавсана, а также получения антифризов. Этиленгликоль может использоваться как сырье в процессе органического синтеза.
Глицерин применяют в области парфюмерии, фармацевтики, а также пищевой, текстильной промышленности.
Особенно широкое применение глицерин приобрел в производстве нитроглицерина, что является важным в процессе обмена. Это объясняется тем, что он находится в составе жиров животных, а также растительных тканей.
Статья по химии на заказ от проверенных исполнителей!

Комментарии