Закон Ленца определяет
действие, в процессе преодоления которого энергия из одного вида превращается в другой, сохраняя движение
действие, в процессе преодоления которого энергия из одного вида превращается в другой, изменяя движение
действие, в процессе преодоления которого энергия остается неизменной, сохраняя движение
противодействие, в процессе преодоления которого энергия из одного вида превращается в другой, сохраняя движение
В различных опытах с электромагнитной индукцией направление индукционного тока оказалось неодинаково. По этому поводу М. Фарадей писал, что закономерность, которой подчинено направление возбужденного тока с помощью электромагнитной индукции, очень простая, хотя и трудно описываема. Эту закономерность в 1834 русский ученый Э. X. Ленц объяснил, руководствуясь идеей сохранения материи и движения, которая традиционно развивалась со времен Ломоносова.
Формулировка закона
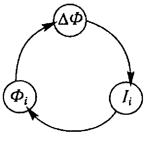
Данный закон раскрывает взаимосвязь между индукционным током , обусловленным им магнитным потоком , и изменением магнитного потока некоторого внешнего поля.

Стрелки на рисунке показывают, что изменение магнитного потока обуславливает образование индукционного тока , который, в свою очередь, сопровождается возникновением магнитного потока . При этом данный магнитноый поток противодействует изменению .
Исходя из этого, формулировка закона Ленца будет следующей:
направление индукционного тока всегда таково, что его собственное магнитное поле противодействует тому изменению магнитного потока, в результате которого оно само возникает.
Закон Ленца определяет противодействие, в процессе преодоления которого энергия из одного вида превращается в другой, сохраняя движение.
Примеры электромагнитных систем
Поясним это явление на следующих примерах.
Пример 1
Создают систему из катушки К1 с током I1 и катушку К2 без тока. Концы катушки К2 присоединяют к гальванометру.

Таким образом, если полюс N постоянного магнита приближать к замкнутой катушке, то магнит и катушка отталкиваются.
Это объясняется тем, что на ближайшем конце катушки возникает одноименный полюс магнитного поля индуцированного тока.
Пример 2
С удалением магнита от катушки, рассмотренной в первом примере, между ними наоборот наблюдается притяжение.

В обоих случаях изменение наводящего потока Ф1 компенсируется изменением приведенного магнитного потока Ф2 противоположного направления. К такому же выводу придем, если перемещать относительно катушки полюс S постоянного магнита или заменим постоянный магнит катушкой с током.
Электромагнитная индукция дает возможность превращать другие виды энергии в электрическую. На этом явлении основан вся современная электро- и радиотехника.
Статья по физике на заказ от проверенных исполнителей!

Комментарии