Как называются фосфорные эфиры нуклеозидов, в которых остаток фосфорной кислоты связан с рибозным (или дезоксирибозным) остатком в положениях С-3 или С-6?
нуклеозиды
нуклеотиды
пуриновые основания
пиримидиновые основания
Это одна из самых важных групп водорастворимых соединений клетки. Их значение для живых организмов и жизни, как природного феномена, трудно переоценить. Они являются структурными компонентами нуклеиновых кислот, которые сохраняют и передают генетическую информацию. Именно вещества, относящиеся к классу соединений, отвечающих за сохранение и передачу энергии.
Строение нуклеотидов
Фосфорные эфиры нуклеозидов, в которых остаток фосфорной кислоты связан с рибозным (или дезоксирибозным) остатком в положениях С-3 или С-6.
Впервые нуклеиновые кислоты выделил еще в 1868 швейцарский врач И. Ф. Мишер. Но строение нуклеотидов была выяснено не так уж и давно – в 1952 г. группой английских исследователей во главе с А. Тоддом (табл. 1.).

По химической природе нуклеотиды можно рассматривать как фосфатированные нуклеозиды (гликозиды). Моносахариды, которые образуют эти нуклеозиды, относят к классу пентофураноз.
Нуклеозиды
Дезоксирибоза имеет на одну группу ОН меньше, чем рибоза, то есть состав молекул, соответственно, С5Н9О4 и С5Н10О5. Название нуклеозидов определяют по их химическому составу. Его начинают с названия соответствующего углевода, к которому добавляют название азотистого основания.
Нуклеозиды, содержащие рибозу называют рибонуклеозид. А те, в состав которых входит дезоксирибоза, называют дезоксирибонуклеозид.
Азотистые основания делятся на две группы в зависимости от их строения. Группа пуриновых оснований в своей структуре имеет гетероциклическое кольцо с четырьмя атомами азота, а группа пиримидиновых – шестичленное кольцо с двумя атомами азота.
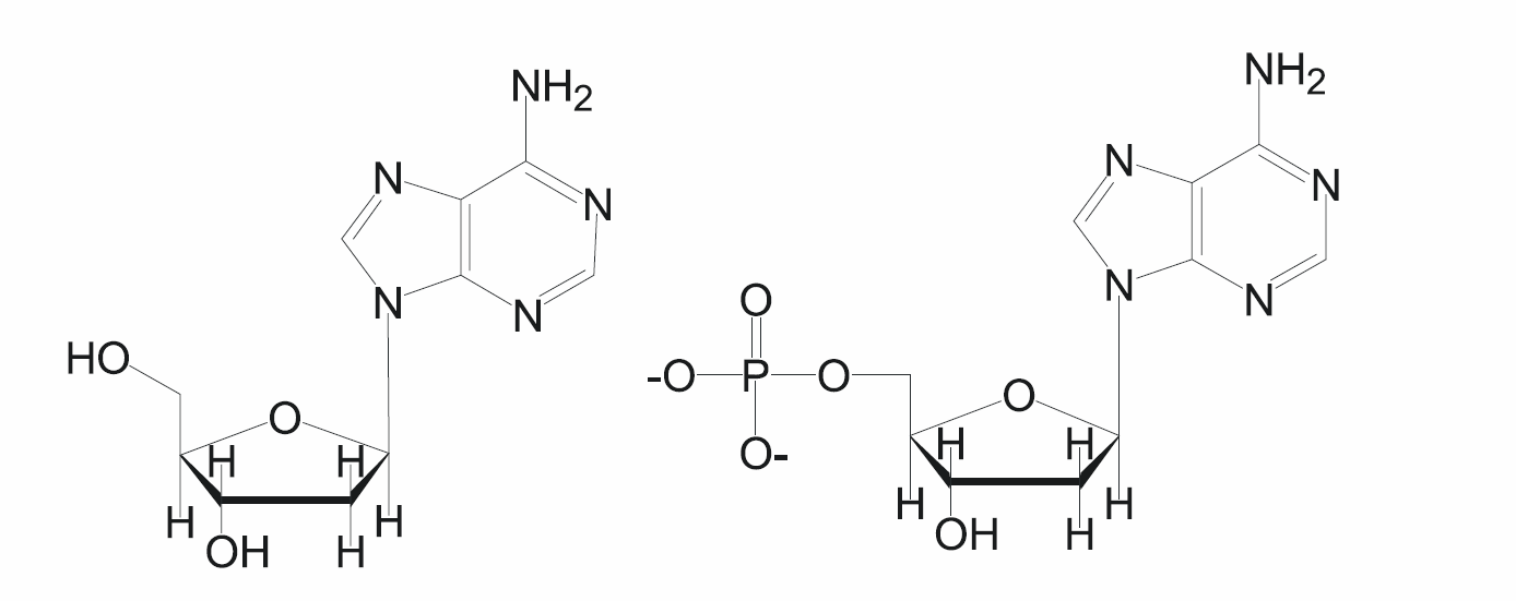
Соответствующие нуклеозиды имеют окончания «-зин», или «-дин». Когда к нуклеозиду присоединяется остаток фосфорной кислоты, то такое соединение называется нуклеотидом, а ее название заканчивается на «-лат». Например, дезоксиаденозин состоит из дезоксирибозы и аденина, адезоксиаденилат содержит также фосфат:

Функция нуклеотидов
Важнейшая биологическая функция нуклеотидов – способность к образованию полимеров, которые называются дезоксирибонуклеиновой (ДНК) и рибонуклеиновой (РНК) кислотами.
Но в жизни клетки важную роль играют не только огромные молекулы ДНК и РНК, но и отдельные свободные нуклеотиды.
Нуклеотиды являются составными частями нуклеиновых кислот и многих коферментов.
Свободные нуклеотиды, в частности АТФ, цАМФ, АДФ, играют важную роль в энергетических и информационных внутриклеточных процессах.
Нужна работа по низкой цене? У нас вы можете заказать статью по биологии недорого!

Комментарии