К нуклеиновым кислотам относятся дезоксирибонуклеиновая (ДНК) и рибонуклеиновые (РНК) кислоты. Это важнейшие биополимеры, которые играют главную роль в хранении, передаче и реализации генетической информации в живых клетках.
Открытие нуклеиновых кислот
В середине XIX века было установлено, что материал, который отвечает за передачу наследственных признаков, находится в ядре. А в 1869 г. швейцарский врач Ф. Мишером (1844 - 1895), работая с ядрами клеток гноя, выделил вещество, имеющее кислые свойства. Это событие оценивают как открытие нуклеиновых («ядерных») кислот. Сам термин появился несколько позже – в 1889 г.
В 1891 г. немецкий биохимик А. Кессель (1853-1927) провел гидролиз нуклеиновых кислот и установил, что они состоят из остатка сахара, фосфорной кислоты и азотистых оснований, которые относятся к пуринам и пиримидинам. Полимерная природа нуклеиновых кислот была обнаружена в 30-х гг. XX века. Но понадобилось более 20 лет для того, чтобы выяснить все те сложные закономерности, которые лежат в основе построения нуклеиновых полимеров.
Благодаря исследованиям строения и функционирования этих полимеров в середине XX века возникла новая биологическая наука – молекулярная биология. Именно с ней связаны выдающиеся достижения биологии второй половины XX века.
Строение нуклеиновых кислот
Нуклеиновые кислоты относятся к сложным гетерополимерам, мономерами которых являются нуклеотиды. Их мономеры не только отличаются между собой, но и каждый мономер имеет сложное строение.
Первичная структура нуклеиновых кислот это цепь с нуклеотидов, которые связаны ковалентной 5’- 3’ - фосфодиефирной связью.
Номенклатура полимера зависит от порядка атомов углерода в моносахариде. Азотистые основания присоединены к первому атому углерода ковалентной гликозидной связью. В построении первичной структуры нуклеиновых кислот они участия не принимают. Фосфат с одной стороны соединяет пятый, а с другой – третий атом углерода в моносахариде.
При анализе первичной структуры нуклеиновых кислот напрашивается определенная аналогия с первичной структурой белка. Как и белки, полимерные цепочки нуклеиновых кислот имеют различные по строению окончания молекул.
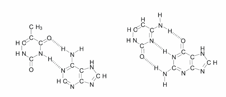
Значительный вклад в расшифровку строения нуклеиновых кислот внес американский биохимик Э. Чаргафф. Анализируя в 50-х гг. XX века состав нуклеиновых кислот разной природы, Е. Чаргафф вывел, что соотношение суммы аденина с тимина к сумме гуанина с цитозином одинаковы в ДНК из разных клеток.
Данная закономерность известна под названием правила Чаргаффа. Она лежит в основе построения вторичной структуры нуклеиновых кислот. Вторичная структура создается благодаря специфическим водородным связям, которые возникают между азотистыми основаниями:

В связи с тем, что между тимином (урацилом) возникают две водородные связи (молекула слева), а между цитозином и гуанином - три (молекула справа), соотношение между этими парами оснований всегда постоянное.
Пары азотистых оснований, между которыми возникают водородные связи, называют комплементарными (соответствующими), а закономерность их образования – принципом комплементарности (соответствия).
Таким образом, в случае, когда возникает вторичная структура нуклеиновых кислот, напротив тимина (урацила) всегда находится аденин, а напротив цитозина – гуанин.
Нужна работа по низкой цене? У нас вы можете заказать статью по биологии недорого!

Комментарии