Аденозинтрифосфорная кислота (АТФ) является одним из самых известных и самых важных нуклеотидов.
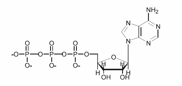
Этот нуклеотид состоит из рибозы, аденина и трех фосфатов:

АТФ впервые была обнаружена в экстрактах мышечных тканей немецким исследователем К. Ломаном. Почти одновременно, в 1929 американские исследователи С. Фиске и И. Суб-Баро выделили это соединение.
Роль АТФ
Сначала считали, что АТФ участвует только в мышечных сокращениях, но потом эта молекула была обнаружена и в других биологических объектах. В 1941 г. Ф. Липман выдвинул гипотезу, согласно которой ATФ в клетках играет роль главного и универсального преобразователя энергии. Дальнейшие исследования подтвердили это блестяще предположение.
АТФ переносит энергию в форме двух макроэргических фосфатных связей.
Химическая энергия, накопленная в форме АТФ, используется:
- для процессов биосинтеза;
- в качестве источника энергии для движения и сокращения;
- для обеспечения прохождения электрического импульса вдоль нервного волокна (электрическая работа);
- для возникновения явления люминесценции (свечения при протекании ферментативных реакций)
- в механизмах передачи наследственной информации.
Восстановительное свойство АТФ необходимо для восстановления двойных связей в синтезе жирных кислот, а также для образования глюкозы в процессе фотосинтеза (темные реакции фотосинтеза).
Кроме энергетической функции, АТФ в клетках выступает также универсальным источником фосфатных групп, обеспечивает транспорт ионов водорода и других катионов через мембраны против градиента концентрации и электрохимического градиента (осмотическая работа) и тому подобное.
НАД и НАДФ
В случае присоединения к остатку фосфорной кислоты активных групп (например, витаминов), образуются другие более сложные нуклеотиды. Все они играют значительную роль в обмене веществ в клетках.
Примером таких соединений является никотинамид и никотинамидадениндинуклеотидфосфат (соответственно, НАД и НАДФ).
Они, подобно АТФ, принимают участие в энергетических процессах. НАД и НАДФ состоят из аденина, двух молекул рибозы, соединенных двумя фосфатными остатками, и витамина В5. В таком виде эти соединения являются активаторами (коферментами) почти 150 биохимических реакций, связанных с синтезом энергии и другими важными преобразованиями в клетках как прокариотов, так и у эукариотов. Открыли НАД и НАДФ немецкие исследователи Г. Кун и А. Варбург.
Кроме перечисленных, в клетке есть и другие энергетические нуклеотиды. По своему строению они похожи или на АТФ, или к НАДФ. Таким образом, нуклеотиды являются универсальными компонентами обмена веществ и превращения энергии в биологических объектах.
Заказать статью по биологии у экспертов биржи Студворк!

Комментарии