Постройте скелет G^=(X^,U^) графа G=(X,U), где U={(x1x2¯¯¯¯¯¯¯¯¯¯),(x1x3¯¯¯¯¯¯¯¯¯¯),(x1x4¯¯¯¯¯
Постройте скелет G=(X,U) графа G=9X,U0.где U=(X1,X2),(X1.X3),(X1,X4),(X3,X2),(X3,X4) В ДЕМО ФАЙЛЕ МОЖЕТЕ УВИДЕТЬ ЗАДАНИЕ
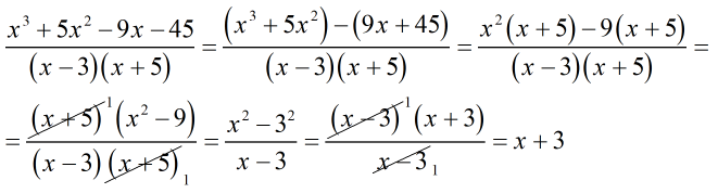
Нужна помощь с геометрией Найдите наибольшее и наименьшее значение функции y = x3 - 3x2 - 9x -4 на отрезке .…
Найдите наибольшее и наименьшее значение функции y = x3 - 3x2 - 9x -4 на отрезке .
Ответ на вопрос
Для нахождения наибольшего и наименьшего значения функции на отрезке необходимо изучить поведение функции на этом отрезке. Для этого найдем производную функции y = x^3 - 3x^2 - 9x - 4:y' = 3x^2 - 6x - 9.Найдем точки экстремума, приравняв производную к нулю:3x^2 - 6x - 9 = 0,x^2 - 2x - 3 = 0,(x - 3)(x + 1) = 0,x = 3 или x = -1.Теперь найдем значения функции в найденных точках и на концах отрезка:y(-1) = (-1)^3 - 3(-1)^2 - 9(-1) - 4 = -1 - 3 + 9 - 4 = 1,y(3) = 3^3 - 3(3)^2 - 9(3) - 4 = 27 - 27 - 27 - 4 = -31,y(0) = 0^3 - 3(0)^2 - 9(0) - 4 = -4.Таким образом, наименьшее значение функции на отрезке [-1, 3] равно -31, а наибольшее значение равно 1.
Еще
Координаты (x;y) точки минимума функции f(x)=x3−6x2+9x−2 равны...
Координаты (x;y) точки минимума функции f(x)=x3−6x2+9x−2 равны...
Ответ на вопрос
Для нахождения точки минимума используем производную функции:f'(x) = 3x^2 - 12x + 9Теперь находим точку минимума, приравнивая производную к нулю и решая полученное уравнение:3x^2 - 12x + 9 = 0
x^2 - 4x + 3 = 0
(x - 3)(x - 1) = 0x1 = 3, x2 = 1Точки x1 и x2 - это точки минимума функции. Найдем значение функции в этих точках:f(3) = 3^3 - 63^2 + 93 - 2 = 27 - 54 + 27 - 2 = 0
f(1) = 1^3 - 61^2 + 91 - 2 = 1 - 6 + 9 - 2 = 2Итак, координаты точки минимума функции f(x) = x^3 - 6x^2 + 9x - 2 равны (3;0) и (1;2).
Еще
Решить уравнение x3 – 4x2 – 9x + 36 = 0
Решить уравнение x3 – 4x2 – 9x + 36 = 0
Ответ на вопрос
Для решения уравнения x^3 - 4x^2 - 9x + 36 = 0 используем метод подбора корней.Подставляем различные целочисленные значения в уравнение и находим, при каком значении x левая часть уравнения равна 0:При x = 1: 1^3 - 4(1)^2 - 91 + 36 = 1 - 4 - 9 + 36 = 24 ≠ 0
При x = -1: (-1)^3 - 4(-1)^2 - 9(-1) + 36 = -1 - 4 + 9 + 36 = 40 ≠ 0
При x = 2: 2^3 - 4(2)^2 - 92 + 36 = 8 - 16 - 18 + 36 = 10 ≠ 0
При x = -2: (-2)^3 - 4(-2)^2 - 9(-2) + 36 = -8 - 16 + 18 + 36 = 30 ≠ 0
При x = 3: 3^3 - 4(3)^2 - 9*3 + 36 = 27 - 36 - 27 + 36 = 0Таким образом, корень уравнения x^3 - 4x^2 - 9x + 36 = 0 равен x = 3.Теперь, чтобы найти остальные корни уравнения, разделим исходное уравнение на (x - 3) (так как x = 3 - найденный корень) с использованием синтетического деления:x^3 - 4x^2 - 9x + 36 / (x - 3)3 | 1 -4 -9 36
| 3 -3 -121 -1 -12 24Таким образом, мы разделили уравнение на x - 3 и получили квадратное уравнение x^2 - x - 12.Решим это квадратное уравнение:x^2 - x - 12 = 0
(x + 3)(x - 4) = 0x = -3 или x = 4Итак, корнями уравнения x^3 - 4x^2 - 9x + 36 = 0 являются x = -3, x = 3, x = 4.
Еще
Определите экстремумы функции f(x)=x3-9x
Определите экстремумы функции f(x)=x3-9x
Производная от x^3-9x=3x^2-9=0Отсюда x1=sqrt(3)=1,732x2=-sqrt(3)=-1,732f(x=1,732)=-10.39 - локальный минимумf(x=-1,732)=10.39 - локальный максимум
Еще
Найдите промежутки возрастания и убывания функции,точки экстремума y=x3+3x2-9x
Найдите промежутки возрастания и убывания функции,точки экстремума y=x3+3x2-9x
Ответ на вопрос
Для нахождения промежутков возрастания и убывания функции, а также точек экстремума, необходимо найти производную данной функции.y' = 3x^2 + 6x - 9Далее найдем точки, в которых производная равна нулю:3x^2 + 6x - 9 = 0
x^2 + 2x - 3 = 0
(x + 3)(x - 1) = 0Таким образом, получаем две точки - x = -3 и x = 1.Для определения промежутков возрастания и убывания смотрим знаки производной на этих точках:1) При x < -3: y' > 0, следовательно функция возрастает на этом промежутке.
2) При -3 < x < 1: y' < 0, функция убывает на этом промежутке.
3) При x > 1: y' > 0, функция возрастает на этом промежутке.Таким образом, функция возрастает на интервалах (-бесконечность, -3) и (1, +бесконечность), а убывает на интервале (-3, 1).Теперь найдем точки экстремума. Для этого подставим найденные точки x = -3 и x = 1 в исходную функцию:y(-3) = (-3)^3 + 3(-3)^2 - 9(-3) = -27 + 27 + 27 = 27y(1) = 1^3 + 31^2 - 91 = 1 + 3 - 9 = -5Таким образом, точка экстремума с координатами (-3, 27) является минимумом, а точка с координатами (1, -5) - максимумом.
Еще
Решите уравнения:1)3(x-2)=x+22)5-2(x-1)=4-x3)(7x+1)-(9x+3)=54)3,4+2y=7(y-2,3)5)3x+6=22(2x-7)-x6)6,2(3-2x)=20-(12,4x+1,4)…
Решите уравнения:1)3(x-2)=x+22)5-2(x-1)=4-x3)(7x+1)-(9x+3)=54)3,4+2y=7(y-2,3)5)3x+6=22(2x-7)-x6)6,2(3-2x)=20-(12,4x+1,4)
Ответ на вопрос
1)3(x-2)=x+23x – 6 = 1x + 23x – x = 2 + 62x = 8x = 4
Еще
Ответ на вопрос
2)5-2(x-1)=4-x5 – 2x + 2 = 4 – x– 2x + x = 4 – 2 – 5-x = -3x = 3
Еще
Высшая математика Чита ЗабИЖТ КР3,4 Вариант 10
Составить уравнение касательной плоскости и нормали к поверхности z = f(x, y) в точке M(x0,y0). 140 z = x3 + y2 + 3x2y в точке M(0; 1). 141-150. Вычислить двойной интеграл по области D. 150 (xy –
Найти целые корни уравнения : x3-8x2+9x-2=0
Найти целые корни уравнения : x3-8x2+9x-2=0
Ответ на вопрос
Для нахождения целых корней уравнения x^3 - 8x^2 + 9x - 2 = 0 можно воспользоваться методом подбора или методом деления многочлена на делители его свободного члена.Сначала проверим x = 1:1^3 - 81^2 + 91 - 2 = 1 - 8 + 9 - 2 = 0.Таким образом, x = 1 - целый корень уравнения.Теперь разделим x^3 - 8x^2 + 9x - 2 на x - 1 с помощью синтетического деления:11 -8 9 -21 -7 2 1 -7 2 0Таким образом, уравнение x^3 - 8x^2 + 9x - 2 = 0 можно представить в виде (x - 1)(x^2 - 7x + 2) = 0.Теперь решим квадратное уравнение x^2 - 7x + 2 = 0 с помощью дискриминанта:D = (-7)^2 - 412 = 49 - 8 = 41.x = (7 ± √41) / 2.Таким образом, целыми корнями уравнения x^3 - 8x^2 + 9x - 2 = 0 являются x = 1, x = (7 + √41) / 2 и x = (7 - √41) / 2.
Еще