(ТулГУ) Химия (237 вопросов с правильными ответами)
взаимодействуют… Выберите один или несколько ответов: 1. `K_2 O, Al_2 O_3` 2. `Na_2 O, N_2 O` 3. `Na_2 O, CuO` 4. `BaO, CrO_3` Моляльная концентрация вещества в растворе измеряется в… Выберите один или несколько
(ТулГУ) Химия (237 вопросов с правильными ответами)
взаимодействуют… Выберите один или несколько ответов: 1. `K_2 O, Al_2 O_3` 2. `Na_2 O, N_2 O` 3. `Na_2 O, CuO` 4. `BaO, CrO_3` Моляльная концентрация вещества в растворе измеряется в… Выберите один или несколько
CuO-Cu-CuCl(2)-Cu(NO3)-Cu-Cu)
CuO-Cu-CuCl(2)-Cu(NO3)-Cu-Cu)
Ответ на вопрос
This appears to be a chemical reaction involving copper oxide (CuO), copper metal (Cu), copper chloride (CuCl2), copper nitrate (Cu(NO3)2), and more copper metal (Cu). The exact reaction cannot be determined without more specific information about the conditions in which it takes place. However, it appears that copper is being oxidized and reduced in the presence of various copper compounds. If you can provide more details, such as the reaction conditions, reactant concentrations, temperature, and other relevant information, I can help you determine the specific reaction that is taking place.
Еще
CuO+NaCl=CuCl+Na2O Возможно?
CuO+NaCl=CuCl+Na2O Возможно?
Ответ на вопрос
Нет, это уравнение неверное. Правильное уравнение для реакции между CuO и NaCl выглядит так:2CuO + 4NaCl = 2CuCl2 + 2Na2OТаким образом, результатом реакции будет образование хлорида меди (II) и оксида натрия.
Еще
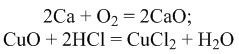
Провели реакцию CuO + 2HCl → CuCl 2 + H 2 O. Хлоридной кислоты прореагировало 73 г. Сколько образуется купрум(II)…
Провели реакцию CuO + 2HCl → CuCl 2 + H 2 O. Хлоридной кислоты прореагировало 73 г. Сколько образуется купрум(II) хлорида? Какова массовая доля купрум(II) хлорида в образовавшемся растворе?(в качестве
Ответ на вопрос
Посчитаем количество образовавшегося CuCl2:
Молярная масса HCl = 36.46 г/моль
Масса HCl = 73 г
Количество молей HCl = 73 г / 36.46 г/моль = 2 моль
Так как CuO реагирует с 2 молями HCl, то образуется 1 моль CuCl2
Молярная масса CuCl2 = 134.45 г/моль
Масса CuCl2 = 134.45 гМассовая доля CuCl2 в растворе:
Масса CuCl2 = 134.45 г
Масса H2O = 18.02 г
Общая масса раствора = 134.45 г + 18.02 г = 152.47 г
Массовая доля CuCl2 = (134.45 г / 152.47 г) * 100% = 88.2%CuO - это основный оксид, так как реагирует с кислотами (в данном случае HCl) образуя соль и воду. CuO + 2HCl → CuCl2 + H2O.
Еще
Cu-CuO-Cu(NO3)2-Cu(OH)-CuO-CuO4-CuCl-Cu(NO3)2
Cu-CuO-Cu(NO3)2-Cu(OH)-CuO-CuO4-CuCl-Cu(NO3)2
Ответ на вопрос
These are all chemical formulas related to copper compounds. Here is a brief description of each:Cu: Copper is a metal that is commonly used in various applications due to its excellent conductivity and corrosion resistance.CuO: Copper(II) oxide is a black solid compound that is commonly used as a pigment in ceramics and in the production of copper metal.Cu(NO3)2: Copper(II) nitrate is a blue-green solid compound that is used as a catalyst in various organic reactions and in the production of copper metal.Cu(OH): Copper(II) hydroxide is a blue-green solid compound that is used as a fungicide and as a precursor for the production of other copper compounds.CuO4: Copper(IV) oxide is a rare compound that is unstable and can only be produced under specific conditions in a laboratory.CuCl: Copper(I) chloride is a white solid compound that is used as a catalyst in organic reactions and in the production of copper metal.Cu(NO3)2: Copper(II) nitrate, mentioned above, is a blue-green solid compound used in various applications.Overall, these compounds are representative of the various oxidation states and forms of copper that can be found in nature and in laboratory settings.
Еще
Гальванические элементы
пастовый|
|Ртутно-цинковый щелочной|Zn/KOH/HgO|Постоянный, водный, пастовый|
|Медно-цинковый|Zn/KOH/CuO|Постоянный, водный, незагущенный3|
|Литий-оксид марганца (IV)|Li/LiC1О4/MnО2|Постоянный, апротонный
В цепочке превращений S→X→SO₃→X2→CuSO₄→X3→CuO→Cu веществами Х1, Х2 и Х3 являются соответственно: 1) H₂S,…
В цепочке превращений S→X→SO₃→X2→CuSO₄→X3→CuO→Cu веществами Х1, Х2 и Х3 являются соответственно: 1) H₂S, HS0₄, Cu(OH)₂ 3) S0₂, H₂S0₄, CuCl₂ 2) FeS, H₂S0₄, Cu(OH)₂ 4) S0₂, H₂S0₄, Cu(OH)₂ Уравнения реакций
Ответ на вопрос
Вещества X1, X2 и X3 превращаются в S, SO3 и Cu соответственно, поэтому верным ответом будет 1) H₂S, HS0₄, Cu(OH)₂.Уравнения реакций будут следующими:
1) H₂S → S
2) S + O₂ → SO₃
3) SO₃ + H₂O → H₂SO₄
4) H₂SO₄ + CuO → CuSO₄ + H₂O
5) CuSO₄ + 2NaCl → CuCl₂ + Na₂SO₄
6) CuCl₂ + 2NaOH → Cu(OH)₂ + 2NaClГенетические ряды химических элементов, предложенные в этом задании, это сера (S) и медь (Cu).
Еще
Определить степень окисления атомов и формулы и названия веществ , которые окислители. CuO + H2=Cu+ H2O NH3+O2=NO+H2O…
Определить степень окисления атомов и формулы и названия веществ , которые окислители. CuO + H2=Cu+ H2O NH3+O2=NO+H2O Cu+FeCl3=CuCl+FeCl2 KClO3=KCl+O2
Ответ на вопрос
Cu в CuO имеет степень окисления +2, а Cu в Cu имеет степень окисления 0.В NH3 азот имеет степень окисления -3, в NO степень окисления +2.В FeCl3 железо имеет степень окисления +3, а в FeCl2 - +2.В KClO3 хлор имеет степень окисления +5, в KCl -1, в O2 0.Таким образом, окислители в каждом уравнении:CuO - вещество, которое окисляется.NH3 - вещество, которое окисляется.Cu - вещество, которое окисляется.FeCl3 - вещество, которое окисляется.KClO3 - вещество, которое окисляется.
Еще
Здійснюють такі перетворення: CuO-CuSo4-Cucl-cu(Oh)2
Здійснюють такі перетворення: CuO-CuSo4-Cucl-cu(Oh)2
Ответ на вопрос
CuO (оксид міді) + H2SO4 (сульфатна кислота) -> CuSO4 (сульфат міді) + H2O (вода)CuSO4 (сульфат міді) + NaCl (хлорид натрію) -> CuCl (хлорид міді) + Na2SO4 (сульфат натрію)CuCl (хлорид міді) + NaOH (гідроксид натрію) -> Cu(OH)2 (гідроксид міді) + NaCl (хлорид натрію)
Еще
Fe-Cu-CuO-CuSO4-Cu(OH)2-CuCl
Fe-Cu-CuO-CuSO4-Cu(OH)2-CuCl
Ответ на вопрос
This is a list of chemical compounds containing iron (Fe) and copper (Cu) in various oxidation states: copper oxide (CuO), copper sulfate (CuSO4), copper hydroxide (Cu(OH)2), and copper chloride (CuCl).
Еще