Вариант – II. 1. Для вещества, имеющего строение CH3 – CH = CH – CH – CH3 ׀ C2H5 составьте структурные формулы: а)…
Вариант – II. 1. Для вещества, имеющего строение CH3 – CH = CH – CH – CH3 ׀ C2H5 составьте структурные формулы: а) гомолога; б) изомера углеродной цепи; в) изомера положения двойной связи. 2. Назовите
Ответ на вопрос
а) Гомолог уксусной кислоты: CH3 – CH2 – COOH
б) Изомер углеродной цепи: CH3 – CH(CH3) – CH2 – COOH
в) Изомер положения двойной связи: CH3 – CH = CH – COOHа) 1-этил-2-пропен
б) 2,3-диметил-1-бутен-4-инАлкен, полученный дегидрированием 1,2-дибромбутана: 1,2-дибромбутен
Алкен, полученный дегидрированием пентана: пентена) CH2 = CH – CH2 – CH3 + H2O → CH3 – CH2 – CH2 – CH3 (гидратация алкена)
б) CH2 = CH2 + H2 → CH3 – CH3 (гидрирование алкена)
в) CH2 = CH2 → CH3 – CH3 (протолиз)
г) C2H4 + O2 → 2CO + 2H2O (окисление алкена)
Еще
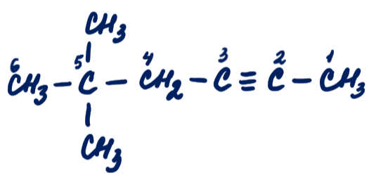
1)углеводород CH3-C(CH3)2-CH2-C≡C-CH3 а) 2,2-диметилгексин-4 б) 2,2 диметилгексен-4 в) 5,5-диметилгексин-2…
1)углеводород CH3-C(CH3)2-CH2-C≡C-CH3 а) 2,2-диметилгексин-4 б) 2,2 диметилгексен-4 в) 5,5-диметилгексин-2 г) 5,5-диметилгексин-3 2)Название углеводорода (CH3)3C-CH=C(C2H5)-CH3 а) 2-этил-4,4-демитилпентен-2
Ответ на вопрос
1) в) 5,5-диметилгексин-2
2) б) 2,2,4-триметилгексен-3
3) б) 26,9 лCH4 + 3Cl2 =hv= CHCl3 + 3HCln(CHCl3) = m(CHCl3)/M(CHCl3) = 47,8/119,5 = 0,4(моль)по уравнению реакции n(Cl2) = 3*n(CHCl3) = 3*0,4 = 1,2(моль)V(Cl2) = n(Cl2)*Vm = 1,2*22,4 = 26,88 ≈ 26,9(л)4) в) замещения атомов водорода
Еще
1. Төмендегі қосылыстарды жүйелеу номенклатурасы бойынша ата: (3 ұпай) C2H5 O |a) CH3 – CH2 – CH – C б) CH3 – CH2…
C2H5 O |a) CH3 – CH2 – CH – C б) CH3 – CH2 – C – CH – CH3
Ответ на вопрос
а) CH3 – CH2 – CH – C
б) CH3 – CH2 – C – CH – CH3Көрсетілген өзгерістері орындайды:O
|
C2H2→CH3 – C → CH3 – C → CH2Cl – C
H OH OHАльдегид атомының молекуласында C=O байланысы жоғалған болатын күміс оксидімен тотықсыздандыру нәтижесінде 2,7г күміс түзілуді. Соданӏ күміс түзілуінің молекуласындағы C атомының қырғысынан жасалғанына сәйкес қатес уақылы алгебра теоремасын қолданып Ури Куинцидоны теоремасын енгізгеннен кейін;2,7г күмістан құрайтын молекуласы 107,87г\моль деп білейік. Күмістен құралатын молекуласының атами үшін (107,87г\моль2г)/2,7г = 79,625моль.
Алдегид атомының күмісстен түзілуінің молекуласына шығу үшін
(107,87г\моль(1моль))/79,625моль = 1,354г = 1,4гдей.(',',).Сірке альдегидін түзілудің нәтижелеріндеген тосыптырған сол C алмыонан сындай 1,4г барлықтұзылған.Например:
Ag2(О2СН)2 + 2Ag(NH3)2OH + 2NH4OH → 2Ag + 2(NH4)2C2H2O2 + 2NH3 + H2OСебебі, 2,7г күміс 2,7г сулар түгел молекула мөлшеріне дайындалу үшін тосып емес.
Еще
1.Выпишите из приведенных ниже формул органических соединений аминокислоты: а) C2H5-C-NH2=O; б) CH3-C-O-NH2=O;…
ниже формул органических соединений аминокислоты: а) C2H5-C-NH2=O; б) CH3-C-O-NH2=O; в) C6H5-CH2-CH2-NH-COOH; г) HOOC-CH2-CH-COOH-NH2; д)HO-CH2-CH2-NH2 2. Изменяет ли лакмус окраску в растворе аминоуксусной
Ответ на вопрос
а) C2H5-C-NH2=O - это аминокислота алаанин (Ala);
б) CH3-C-O-NH2=O - это аминокислота глицин (Gly);
в) C6H5-CH2-CH2-NH-COOH - это аминокислота фенилаланин (Phe);
г) HOOC-CH2-CH-COOH-NH2 - это аминокислота глютаминовая кислота (Glu);
д) HO-CH2-CH2-NH2 - это аминокислота серин (Ser).Лакмус изменит окраску в растворе аминоуксусной кислоты. Аминокислоты обладают амфотерными свойствами, что означает, что они могут реагировать как кислоты (принимать протоны) и как основания (отдавать протоны). В данном случае, аминоуксусная кислота будет действовать как кислота, образуя катионы NH3+ в растворе, что изменит окраску лакмуса.
Еще
1)Какие из веществ, формулы которых приведены ниже, являются гомологами, а какие изомерами? а) CH3-CH=CH-CH3,…
гомологами, а какие изомерами? а) CH3-CH=CH-CH3, б)C6H5-C2H5, в) CH2=C(от С отходит вниз CH3 с одинарной связью)-CH3, г) CH3-CH2-CH=CH-CH3, д) C6H5-CH3, е) CH2-CH2-CH(они все связаны между собой, а от
Ответ на вопрос
1) а) CH3-CH=CH-CH3 - гомологи
б) C6H5-C2H5 - изомеры
в) CH2=C(от С отходит вниз CH3 с одинарной связью)-CH3 - гомологи
г) CH3-CH2-CH=CH-CH3 - гомологи
д) C6H5-CH3 - изомеры
е) CH2-CH2-CH(они все связаны между собой, а от последнего отходит вправо - CH3) - гомологи2) a) формула гомолога - CH2=C(от С вниз отходит CH3)-CH2-CH2-CH2-CH3
б) формула изомера - CH3-CH2-CH(от С вниз отходит CH3)-CH3
Названия веществ по систематической номенклатуре:для гомолога: 2-метилбутандля изомера: метилпропан
Еще