Услуги
Заказы
Эксперты
Магазин
Портфолио
Журнал
Справочник
FAQ
Контакты
Услуги
Заказы
Эксперты
Магазин
Портфолио
Журнал
Справочник
Вопросы
FAQ
Контакты
Ничего не найдено
Авторизация
Непоределенный интеграл
Главная
Заказы
Задача
Непоределенный интеграл
user968610
Был(а) на сайте 20 дней назад
Выполнен
Заказ
6911027
Раздел
Математические дисциплины
Предмет
Математический анализ
Тип работы
Задача
Антиплагиат
Не указан
Срок сдачи
7 Ноя в 16:00
Цена
400 ₽
Блокировка
10 дней
Размещен
6 Ноя в 11:53
Просмотров
66
Описание работы
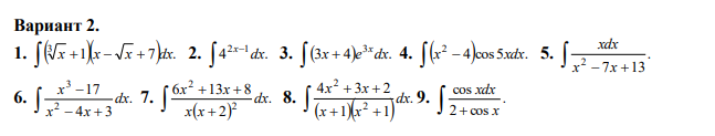
найти интегралы
Нужна такая же работа?
Разместите заказ
Выберите исполнителя
Получите результат
Гарантия на работу
1 год
Средний балл
4.54
Стоимость
Назначаете сами
Эксперт
Выбираете сами
Уникальность работы
от 70%
Разместить заказ
Время выполнения заказа:
2 часа 42 минуты
Выполнен в срок
Отзыв о выполненном заказе
user968610
написал(а)
положительный
отзыв
6 Ноя в 15:59
Хоть я и напутал со временем, сделал всё быстро до нужного срока
Предыдущий заказ
Уровень тревожности у фигуристов в процессе тренировки на этапе высшего спортивного мастерства
Следующий заказ
"Cистемы мультимедиа, анимации и обработки изображений " ТУЛГУ
Нужна аналогичная работа?
Оформи быстрый заказ и узнай стоимость
Тип работы
Задача
Контрольная работа
Курсовая работа
Лабораторная работа
Дипломная работа
Реферат
Отчет по практике
Тест
Чертеж
Сочинение
Эссе
Перевод
Диссертация
Бизнес-план
Презентация
Ответы на билеты
Статья
Доклад
Онлайн-помощь
Рецензия
Монография
ВКР
РГР
Маркетинговое исследование
Автореферат
Аннотация
НИР
Докторская диссертация
Магистерская диссертация
Кандидатская диссертация
ВАК
Scopus
РИНЦ
Шпаргалка
Дистанционная задача
Творческая работа
Не найдено
Тип работы
Задача
Контрольная работа
Курсовая работа
Лабораторная работа
Дипломная работа
Реферат
Отчет по практике
Тест
Чертеж
Сочинение
Эссе
Перевод
Диссертация
Бизнес-план
Презентация
Ответы на билеты
Статья
Доклад
Онлайн-помощь
Рецензия
Монография
ВКР
РГР
Маркетинговое исследование
Автореферат
Аннотация
НИР
Докторская диссертация
Магистерская диссертация
Кандидатская диссертация
ВАК
Scopus
РИНЦ
Шпаргалка
Дистанционная задача
Творческая работа
Разместить заказ
Гарантированные бесплатные доработки в течение 1 года
Быстрое выполнение от 2 часов
Проверка работы на плагиат
Нужна уникальная работа?
Заказать у авторов
Есть уникальный пример?
Продать работу
Нужна похожая уникальная работа?
cкидка 10%
по промокоду STUD10
Получить работу
Темы журнала
Показать ещё
Прямой эфир