В файлах теория и примеры строго по которым надо решить эти задачи по исследованию данных функций на непрерывность:
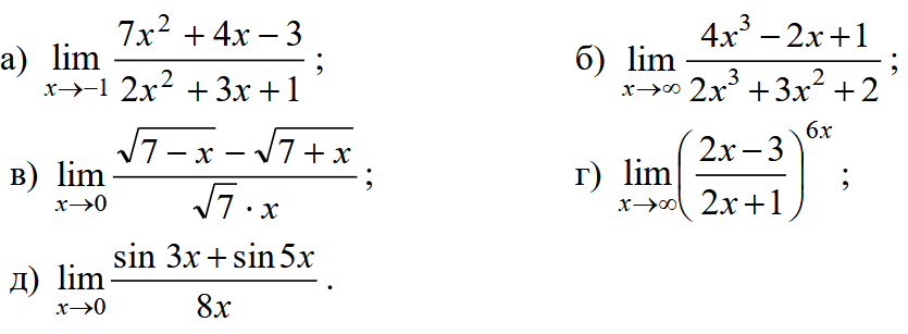
Так же надо решить эти задачи на нахождение пределов с полностью поэтапно расписанным решением:

| Гарантия на работу | 1 год |
| Средний балл | 4.54 |
| Стоимость | Назначаете сами |
| Эксперт | Выбираете сами |
| Уникальность работы | от 70% |