Услуги
Заказы
Эксперты
Магазин
Портфолио
Журнал
Справочник
FAQ
Контакты
Услуги
Заказы
Эксперты
Магазин
Портфолио
Журнал
Справочник
Вопросы
FAQ
Контакты
Ничего не найдено
Авторизация
Комплексные числа
Главная
Заказы
Задача
Комплексные числа
user801322
Был(а) на сайте 8 месяцев назад
Выполнен
Заказ
6518754
Раздел
Математические дисциплины
Предмет
Высшая математика
Тип работы
Задача
Антиплагиат
Не указан
Срок сдачи
25 Янв в 17:00
Цена
200 ₽
Блокировка
10 дней
Размещен
20 Янв в 17:27
Просмотров
100
Описание работы
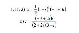
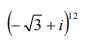
1)
Выполнить действия над комплексными числами в алгебраической форме
2)
Найти
3)
решить уравнение
Нужна такая же работа?
Разместите заказ
Выберите исполнителя
Получите результат
Гарантия на работу
1 год
Средний балл
4.54
Стоимость
Назначаете сами
Эксперт
Выбираете сами
Уникальность работы
от 70%
Разместить заказ
Время выполнения заказа:
1 день 9 часов 6 минут
Выполнен в срок
Отзыв о выполненном заказе
user801322
написал(а)
положительный
отзыв
24 Фев в 11:22
10/10 все отлично
Предыдущий заказ
21.01 10:00 по мск
Следующий заказ
РОСДИСТАНТ
Нужна аналогичная работа?
Оформи быстрый заказ и узнай стоимость
Тип работы
Задача
Контрольная работа
Курсовая работа
Лабораторная работа
Дипломная работа
Реферат
Отчет по практике
Тест
Чертеж
Сочинение
Эссе
Перевод
Диссертация
Бизнес-план
Презентация
Ответы на билеты
Статья
Доклад
Онлайн-помощь
Рецензия
Монография
ВКР
РГР
Маркетинговое исследование
Автореферат
Аннотация
НИР
Докторская диссертация
Магистерская диссертация
Кандидатская диссертация
ВАК
Scopus
РИНЦ
Шпаргалка
Дистанционная задача
Творческая работа
Не найдено
Тип работы
Задача
Контрольная работа
Курсовая работа
Лабораторная работа
Дипломная работа
Реферат
Отчет по практике
Тест
Чертеж
Сочинение
Эссе
Перевод
Диссертация
Бизнес-план
Презентация
Ответы на билеты
Статья
Доклад
Онлайн-помощь
Рецензия
Монография
ВКР
РГР
Маркетинговое исследование
Автореферат
Аннотация
НИР
Докторская диссертация
Магистерская диссертация
Кандидатская диссертация
ВАК
Scopus
РИНЦ
Шпаргалка
Дистанционная задача
Творческая работа
Разместить заказ
Гарантированные бесплатные доработки в течение 1 года
Быстрое выполнение от 2 часов
Проверка работы на плагиат
Нужна уникальная работа?
Заказать у авторов
Есть уникальный пример?
Продать работу
Нужна похожая уникальная работа?
cкидка 10%
по промокоду STUD10
Получить работу
Темы журнала
Показать ещё
Прямой эфир