Решить уравнение Лотка – Вольтерра в среде Excel

Отменен
Заказ
5721320
Раздел
Математические дисциплины
Антиплагиат
Не указан
Срок сдачи
13 Дек 2023 в 21:55
Цена
Договорная цена
Блокировка
10 дней
Размещен
4 Дек 2023 в 14:51
Просмотров
56
Описание работы

Задание 1.

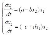
1) Решить уравнение Лотка – Вольтерра в среде Excel .

, где a=4-1/(N+3) , N- номер варианта,

b=2,5, c=2,0, d=1,0.

По книге С.С. Бондарчук, В.П. Перевозкин Математическое моделирование в популяционной экологии в среде Excel (прикреплен PDF файл)

См. стр.223 и далее.


2) Решение уравнений Лотка-Вольтерра c логистической поправкой a>0  (модель хищник-жертва)

 α= 1/(N+4)

Нужна такая же работа?
  • Разместите заказ
  • Выберите исполнителя
  • Получите результат
Гарантия на работу 1 год
Средний балл 4.54
Стоимость Назначаете сами
Эксперт Выбираете сами
Уникальность работы от 70%
Нужна аналогичная работа?
Оформи быстрый заказ и узнай стоимость
Гарантированные бесплатные доработки в течение 1 года
Быстрое выполнение от 2 часов
Проверка работы на плагиат
Темы журнала
Показать ещё
Прямой эфир