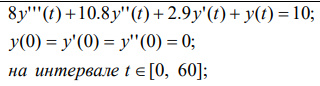
Построить графики отличия аналитического решения (dsolve) от решений методами Адамса-Мултона 2 порядка и Ругне-Кутта 4 порядка (ode45) для следующего ОДУ:

| Гарантия на работу | 1 год |
| Средний балл | 4.54 |
| Стоимость | Назначаете сами |
| Эксперт | Выбираете сами |
| Уникальность работы | от 70% |