.Задание к практической работе.
Заданы множества X, Y, Z, U, правила образования:
X – множество букв имени студента;
Y – множество букв отчества студента;
Z – множество букв фамилии студента;
U – универсальное множество =∪ {ъ,ё, гласные , отсутствующие в множествах X, Y, Z}
1. Вычислить:
- X ∩ Y , X ∩ Z, Y ∩Z, X ∩ Y ∩ Z;
- Y ∪ Z , X ∪ Y ∪ Z;
- X \ Z, Z \ X; X ∪; X Δ Z;
- X ∩, X ∪ (Y ∩ Z); (X \ Z) ∪ (Y \ Z). 2. Нарисовать диаграммы Эйлера для следующих операций:

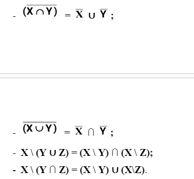
3. Проверить экспериментально на множествах X, Y, Z справедливость следующих утверждений:

нужно написать С ПОЛНЫМ ОБЪЯСНЕНИЕМ. цена обсуждается.
| Гарантия на работу | 1 год |
| Средний балл | 4.54 |
| Стоимость | Назначаете сами |
| Эксперт | Выбираете сами |
| Уникальность работы | от 70% |